顏色色彩管理、配色

ΔE*cmc色差公式與ΔE*ab色差公式有什么差異?
ΔE*cmc色差公式是在ΔE*ab色差公式的基礎上發展起來的一個色差公式,該色差公式比ΔE*ab色差公式具有更好的視覺一致性,且具有相同的字母符號。那么,ΔE*cmc色差公式在形式上與ΔE*ab有什么不同?本文為大家做了分析。

ΔE*cmc色差公式介紹:
ΔE*cmc色差公式在修正ΔE*ab色差公式的基礎上,根據視覺關系調整了每個色調方向的色差橢圓大小和形狀;改善了彩度差變化與明度之間的關系,使不同彩度的顏色具有不同的色差容限。非彩色區域附近的橢圓較小,彩度高的橢圓較大,色差容限與彩度的變化成正比。它引入了明度權重因子l彩度權重因子c,能夠解決暗色和中性色區域的色差結果計算與人眼測量結果相差較大的問題,適應不同的色差需求。
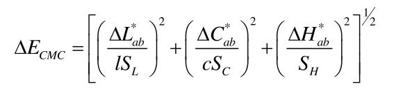
ΔE*cmc公式定義視覺特性為橢圓,橢圓內部所表示的顏色與標準色在視覺特性上表示一致,橢圓外部所表示的顏色則不一樣。用橢圓方程定義的色差公式如下所示:

上式中,△L*、△C*、△H*三個參數分別代表明度差、彩度差和色相差,下標為std的代表標準樣本。SL、SC、SH橢圓的半軸,l是明度權重因子,c是彩度權重因子,通過改變l,c因子改變相對橢圓半軸的長度來控制色差范圍,對于可接受色差取l=2,c=1。
由于ΔE*cmc色差公式與人眼視覺特性一致,因此獨立于顏色區域的“單一閾值”可用于對不同的顏色質量控制,為顏色測量和色差評估帶來極大的方便。
ΔE*cmc與ΔE*ab色差公式差異:
ΔE*cmc色差公式改進了CIELAB顏色空間的目視均勻性。通過修正CIE1976L*a*b*色差公式,ΔE*cmc色差公式使各色調方向的色差橢圓大小可根據視覺的關系進行改變,比如在紅色區域的橢圓比較瘦長,在綠色區域則比較圓;同時它改善了飽和度差隨明度的變化關系,將飽和度不同的顏色賦以不同的色差容限,色差容限隨飽和度的增加而變大,反之則減小。ΔE*cmc視覺容差橢圓如下圖所示:

可以通過容差橢圓圖形化的方法來判定ΔE*cmc色差公式中的視覺容差。在該公式中,人眼對顏色三個屬性敏感程度的差別分別用SH、SL、SC來加權修正。由SH、SL、SC為半軸定義的橢球是顏色的容差范圍,上圖中0代表標樣的坐標,即橢球的球心。在顏色空間的不同區域,依據具體的顏色值計算色差公式中的加權系數,進而計算色差,它可以實現與目視評定色差最接近的結果。如下圖所示:

ΔE*cmc色差公式用單一容差數值就可以裁定色匹配的可接受性,且該容差與標樣的顏色無關。用橢球三半軸(CIELAB明度容差ΔL*、彩度容差△C*ab和色調容差ΔH*ab)加權(lXSC、CXSC和SH)導出的色差ΔEcmc(l:c)還可以區分不同情況用以解釋其三個獨立分量:明度分量ΔL*cmc=ΔL*/lxSL,彩度分量ΔC*cmc=△C*ab/CXSC和色調分量Δ*cmc=ΔH*ab/SH。