顏色色彩管理、配色

RGB顏色空間與CMYK、CIELab顏色空間轉換式
RGB顏色空間是三基色顏色空間,它用三個分量對顏色進行描述,是許多顏色空間進行轉換的橋梁。那么,RGB顏色空間與CMYK、CIELab顏色空間怎么轉換?本文對RGB顏色空間與CMYK、CIELab顏色空間轉換式做了簡要的介紹。

RGB顏色空間與CMYK顏色空間轉換式:
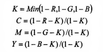
RGB顏色空間向CMYK顏色空間的轉換,從理論上講,由于CMY是RGB的補色,當RGB轉換成CMY時,CMYK值可通過下列公式計算:

式中,C、M、Y、色料三原色的量,用百分比表示;R、G、B為色光三原色轉換為百分比的量。
CMYK顏色空間至RGB顏色空間的轉換公式為:

式中RGB值計算出來為百分比含量,還要轉化為0~255的值,如某一色卡由上式計算出來R=92.16%,G=67.84%,B=53.73%,則RGB空間值為R=235,G=173,B=137。
RGB顏色空間與CIELab顏色空間轉換式:
RBG顏色空間到CIELab顏色空間的轉換分成兩步:首先,RGB顏色空間先轉到XYZ空間,轉換公式如下所示:

X、Y、Z指的是圖像中某像素點的三刺激值,而Xn、Yn、Zn則是樣品采集時所使用光源對應的標準照明體系的三刺激值,其取值分別為95.04、100、108.89。
然后,再從XYZ空間轉到CIELab空間,轉換公式如下所示:

RGB顏色空間的色差公式是怎么樣的?
RGB顏色模型以R(紅)、G(綠)、B(藍)三個色光為三基色,自然界的顏色可以通過其不同程度的疊加而產生。RGB顏色模型中各參數的取值范圍為0~255,共 256個等級,所以三原色分量全部組合起來可表示1600多萬種不同的顏色,它比人眼能分辨的顏色種類還要多得多。由于RGB顏色空間的顏色信息包含于R、G、B這三個分量,因此表示待測目標的顏色與標準顏色的差異就需要結合三個分量進行距離計算。基于RGB顏色空間的標準色差定義為:

由于不同的顏色對人主觀感受的影響有別,在實際的應用中一般采納經驗色差公式,即:
