顏色色彩管理、配色

顏色空間的分類及均勻顏色空間CIELAB顏色空間
顏色空間也稱顏色模型,是顏色量化分析中常用的一種模型。不同類型的顏色空間,由于其構成理論不同,其對顏色的描述方式也是不同的。本文對顏色空間的類型及均勻顏色空間CIELAB顏色空間做了簡要的介紹。

顏色空間的分類:
1.從顏色感知角度分類
(1)混合型顏色空間:按三種基色的比例合成顏色,如RGB,CMY(K)和 XYZ;
(2)非線性亮度/色度型的顏色空間:用一個分量表示非色彩的感知,用兩個獨立的分量表示色彩的感知,如L*a*b,L*u*v,YUV和 YIQ,當需要黑白圖像時,使用這樣的系統就非常方便。
(3)強度/飽和度/色調型顏色空間:用飽和度和色調描述色彩的感知,可使顏色的解釋更直觀,而且對消除光亮度的影響很有用,如HSI,HSL,HSV和Lch。
2.從應用角度分類
(1)RGB型顏色空間/計算機圖形顏色空間:主要用于電視機和計算機的顏色顯示系統,如RGB,HSI,HSL和HSV。在顯示技術和印刷技術中,常被稱為顏色模型。
(2)XYZ型顏色空間/CIE顏色空間:由國際照明委員會(CIE)定義的顏色空間,用作顏色的基本度量方法。該顏色空間是與設備無關的顏色表示法,在科學計算中得到廣泛的應用。對不能直接相互轉換的兩個顏色空間,可利用這類顏色空間作為過渡性的顏色空間,如CIE 1931 XYZ,L*a*b,L*u*v和LCh等;
(3)YUV型顏色空間/電視系統顏色空間:由廣播電視需求的推動而開發的顏色空間,如YUV,YIQ等,主要目的是通過壓縮色度信息以有效地播送彩色電視圖像。
均勻顏色空間CIELAB顏色空間:
CIELAB顏色空間是一種基于對抗色理論設計的先進且受廣泛應用的顏色模型。CIELAB顏色空間通過解耦色調、飽和度和亮度等顏色屬性,來降低顏色通道之間的相關性,從而簡化顏色的調整過程。該顏色空間的結構基于以下三個坐標軸:明度分量L代表顏色的亮度;紅綠分量a*表示顏色在紅色和綠色之間的變化;黃藍分量b*則描述顏色在黃色和藍色之間的變化。這種構建方式使得CIELAB顏色空間能夠以一種非常直觀和全面的方式來描述顏色,更接近人眼對顏色的實際感知,該顏色空間及其各分量示意圖如下圖所示。
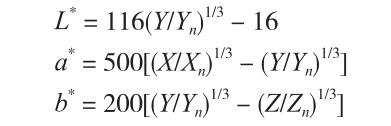
在將RGB顏色空間轉化為CIELAB顏色空間的過程中,需要經歷兩個主要階段。首先,RGB顏色空間需要被轉換到CIEXYZ顏色空間中,最后完成將CIEXYZ顏色空間向CIELAB顏色空間的轉換。RGB顏色空間轉換至CIEXYZ顏色空間的計算方法如下式所示:

其中X、Y、Z代表 CIEXYZ顏色空間中的三個色度坐標,R、G、B代表RGB顏色空間中的紅、綠、藍分量。該轉換過程是線性的,矩陣中的每個數字代表轉換中的一個系數,它們各自定義了對應顏色分量在新空間中的影響程度。
將CIEXYZ顏色空間向CIELAB顏色空間的轉換方式如下式所示:
