顏色色彩管理、配色

色差儀△E*ab色差公式字母符號的含義及作用
△E*ab色差公式是色差儀常用的色差公式,是在CIELab顏色空間的基礎上發展起來的一個色差公式,可以用△L*、△a*、△b*值,也可以用極坐標CIELch顏色空間的△L*、△C*ab、△H*ab值來表示。本文對色差儀△E*ab色差公式字母符號的含義及作用做了介紹。

色差儀△E*ab色差公式:
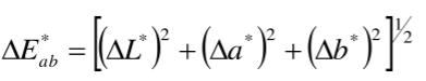
ΔE*ab色差公式是CIELAB色差公式的簡稱,是色差儀中目前使用最為廣泛的一個色差公式。CIELAB色差公式是基于近似均勻的三維顏色空間建立的,由直角坐標L*、a*、b*構成,國際照明委員會推薦使用。該色差公式建立在CIELAB顏色空間之上,在L*a*b*公式中,L*表示明度,a*表示紅色和綠色的成分,b*表示黃色和藍色的成分。若兩個顏色都是按照L*a*b*標定的,則兩個顏色之間的色差可以用歐式距離來計算:

其中,△L*是CIELAB空間的明度差,△a*是CIELAB空間的紅綠色光差,△b*是CIELAB空間的黃藍色光差。△a*和△b*表示樣本和標準在ab*平面上位置的改變。如果將CIELab均勻顏色空間轉化為極坐標空間,則能更好地表示色差的性質,極坐標空間用LCH表示。因此,CIELAB色差公式也可以用明度差△L*、彩度差△C*ab和色相差△H*ab來定義,即:

色差儀△E*ab色差公式字母符號的含義及作用:
1.△L*:△L*=L1*-L2*
△L*是亮度差,指測試樣本和標準樣本的顏色深淺差。如果△L*>0,則測試樣本亮度比標準樣本亮度淺,如果△L*<0,則測試樣本亮度比標準樣本亮度深。
2.△a*、△b*:△a*=a1*-a2*、△b*=b1*-b2*
△a、△b表示色調偏差,在測色配色系統的顏色檢測中,不僅要考慮總色差值,還要考慮分色差值,這樣有利于分析樣品顏色深淺和色調鮮艷度在總色差中的百分比權重。
3.ΔC*ab:ΔC*ab=ΔC*ab,1-ΔC*ab,2
ΔC*ab飽和度差,表示顏色偏離亮度灰色的程度,即用來描述樣本的顏色鮮艷度。如果C*c>0,則表示測試樣本比標準樣本顏色鮮艷,如果C*c<0,則表示標準樣本比測試樣本顏色鮮艷。
4.△H*ab:△H*ab=△H*ab,1-△H*ab,2
△H*ab表示色相角差,在a*和b*平面的樣本顏色點相對于標準顏色點的位置關系決定了色相角ΔH*的大小。△H*ab>0,表示樣品色位于標準色的逆時針方向上;△H*ab<0,說明樣品色位于標準色的順時針方向上。根據標準色所處的位置,就可以判斷樣品色是偏綠還是偏黃。