顏色色彩管理、配色

CIELab均勻顏色空間及均勻顏色空間色差公式
CIELab顏色空間是色度學規定的用于顏色測量的均勻顏色空間之一,目前許多的顏色測量儀器或行業,都是以CIELab顏色空間來對顏色進行量化的描述。本文對CIELab均勻顏色空間及均勻顏色空間色差公式做了介紹。

CIELab均勻顏色空間介紹:
CIE1931-XYZ表色系統和CIE1964-XYZ補充標準色度系統雖然在很多領域得到了廣泛的應用,但其色品圖在視覺上是非均勻的,即不同色區中的顏色感知差異容限大小不同,而且相應的色度值不能用于表達直觀的視覺感受量,最理想的狀態就是找到一種最均勻的顏色空間。
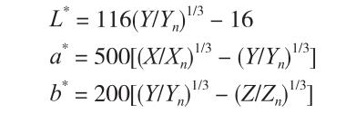
CIE在1976年推薦了CIELAB均勻顏色空間,也叫CIE1976L*a*b*均勻顏色空間。該空間是以對立坐標理論為基礎建立起來的,由L*(明度)和a*、b*(色品坐標)構成直角坐標系。其中,a*為紅綠坐標,正方向為紅,數值愈大顏色愈紅;負方向為綠,數值愈小顏色愈綠。b*為黃藍坐標,正方向為黃,數值愈大顏色愈黃;負方向為藍,數值愈小顏色愈藍。其表達式為:

式中,X、Y、Z是物體的三刺激值,Xn、Yn、Zn為CIE標準照明體的三刺激值,Y/Yn>0.01。
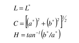
這種三維直角坐標系也可以轉換成柱坐標L*(明度)、C*(飽和度)、h*(色相角),用相應的顏色屬性來描述更易于理解,轉換公式如下:

式中,C*為飽和度值,h*為色相角。對于色相角h*,當a*>0且b*>0時,0°<h*<90°;當a*<0且b*>0時,90°<h*<180°;當a*>0且b*<0時,180°<h*<270°;當a*>0且b*<0時,270°<h*<360°。
CIELab均勻顏色空間色差公式:
色差是兩個試樣在顏色視覺上差異的量值,是明度差、飽和度差和色相差的綜合效應。從1976年至今,研究者們總結出的色差公式將近40種,比較經典的有CIELAB(CIE1976L*a*b*)、JPC79、CMC(l:c)、CIE94、CIEDE2000、ISO、ANLAB、FMCII、CIE1976LUV、BFD(l:c)和LCD色差公式。下文主要介紹CIELAB和CIEDE2000色差公式。
1.CIELAB色差公式
CIELAB色差公式是基于CIELAB均勻顏色空間的色差公式,在CIELAB均勻顏色空間中,兩個顏色的色差用色度坐標所對應的歐幾里德距離來表示。公式為:

式中:△L*、△a*和△b*分別是CIELAB均勻顏色空間中三個標尺的差值,△E*表示色差。
色差還可以用明度差L*、飽和度差△C*和色相差△H*來定義:

2.CIEDE2000色差式
在綜合已有色差公式的基礎上,通過大量視覺實驗和色差評估實驗,CIE于2000年推薦的CIEDE2000標準,不僅包含有明度差△L*、飽和度差△C*和色相差△H*的加權函數,還加入了飽和度差△C*與色相差△H*的交叉項和改善中性色色差預測能力的函數項。具有較好的均勻色差特性和綜合色差視覺感受標準,引起廣泛的注意。其表達式為:

CIEDE 2000色差式加權因子項最為復雜,對色差描述綜合能力也最好,是目前國際照明委員會推薦使用的色差計算公式。應用于不同領域,其加權因子取值也不同:在紡織印染領域,通常取kL=2,kC=kH=1。